Mastering Matrices: Your Essential Guide To Linear Algebra

T.Serverblend 85 views
Mastering Matrices: Your Essential Guide To Linear Algebra

Mastering Matrices: Your Essential Guide to Linear Algebra

Hey there, future math wizards and data enthusiasts! Today, we’re diving deep into the fascinating world of matrices . If you’ve ever felt a little intimidated by this term, don’t worry, you’re absolutely not alone! Many guys hear “matrices” and immediately think of complex, abstract math, but trust me, they’re not as scary as they seem. In fact, matrices are incredibly powerful tools, forming the very backbone of countless modern technologies and scientific fields. From the stunning graphics in your favorite video games and movies to the complex algorithms that power artificial intelligence and machine learning, matrices are quietly working behind the scenes, making it all happen. Our goal today is to unravel the mystery, making this crucial concept accessible, engaging, and genuinely understandable. We’ll explore what matrices are, why they’re so important, and how they function, all in a friendly, conversational tone that cuts through the jargon. So, buckle up, because by the end of this article, you’ll have a solid grasp on matrices and be ready to tackle linear algebra with newfound confidence. This isn’t just about memorizing definitions; it’s about building an intuitive understanding that will serve you well, whether you’re pursuing computer science, engineering, data analysis, or simply want to broaden your mathematical horizons. Let’s conquer matrices together!

What Are Matrices? A Friendly Introduction to the Basics

So, what exactly are matrices ? At its core, a matrix is simply a rectangular array of numbers, symbols, or expressions, arranged in rows and columns. Think of it like a spreadsheet, but with some really cool mathematical properties! Each individual item within the matrix is called an element or an entry . These elements are precisely organized, and their position within the matrix is crucial, as it dictates how we interact with them. For example, a 2x3 matrix (read as “two by three”) has two rows and three columns. The order, or dimension , of a matrix is always given by its number of rows first, followed by its number of columns. This seemingly simple structure is what gives matrices their incredible utility in representing and manipulating data in a structured way. Imagine trying to keep track of pixel data for an image, where each pixel has red, green, and blue color values. A matrix can neatly organize all that information, allowing for efficient processing and transformation, like rotating or resizing the image. Similarly, in fields like economics, matrices can represent production inputs and outputs for various industries, providing a clear, concise way to model complex interdependencies. The beauty of matrices lies in their ability to condense vast amounts of information into a compact, manageable form, making complex calculations and data manipulations far more efficient than if we were to handle individual numbers one by one. Understanding this fundamental organization is your first big step towards mastering matrices . We’ll be using this basic structure throughout our journey, so it’s essential to get comfortable with the idea of rows, columns, and elements working together in this powerful mathematical framework. Whether you’re dealing with vast datasets or intricate mathematical problems, matrices provide an elegant and effective solution, simplifying what would otherwise be incredibly cumbersome calculations. These mathematical constructs are truly indispensable in a wide array of disciplines, and grasping their basic definition and structure is your entry point to unlocking their full potential. From encoding information to solving systems of equations, the humble matrix proves to be a versatile and robust tool, and recognizing its inherent structure is the foundation upon which all further understanding is built. Let’s keep exploring how these powerful tools come alive in various operations and applications.

Types of Matrices You’ll Encounter

As you delve deeper into the world of matrices , you’ll quickly realize that not all matrices are created equal. Just like in any family, there are different types of matrices , each with its own unique characteristics and special roles. Understanding these different types of matrices is super important because they often simplify certain operations or represent specific kinds of data or transformations. Let’s take a look at some of the most common and important ones you’ll definitely come across. First up, we have the Square Matrix . This is a matrix where the number of rows is equal to the number of columns. Simple, right? Think of a 2x2 or a 3x3 matrix . These are incredibly significant because many advanced matrix operations, like finding determinants or inverses, are primarily defined for square matrices . Next, we have the Row Matrix , which is a matrix with only one row, and the Column Matrix , which, you guessed it, has only one column. These are often used to represent vectors in linear algebra, making them crucial for geometric transformations and data representation. Then there’s the Zero Matrix , denoted by a bold 0 or Z , which is a matrix where every single element is zero. It’s the additive identity in matrix algebra, much like the number zero in regular arithmetic. Adding a zero matrix to any other matrix of the same dimension leaves the original matrix unchanged, which is a pretty neat property. Perhaps one of the most critical types of matrices is the Identity Matrix , typically denoted by I or In (where n is its dimension). This is a square matrix where all the elements on the main diagonal (from the top-left to the bottom-right) are 1, and all other elements are 0. The identity matrix acts as the multiplicative identity in matrix algebra; multiplying any matrix by an identity matrix (of appropriate dimensions) leaves the original matrix unchanged. It’s like multiplying by the number one! We also have the Diagonal Matrix , which is a square matrix where all elements not on the main diagonal are zero. The elements on the diagonal can be anything. A special case of a diagonal matrix is the Scalar Matrix , where all diagonal elements are equal (and non-diagonal elements are zero), effectively acting like scalar multiplication when used in certain operations. Finally, let’s briefly touch upon Symmetric Matrices and Skew-Symmetric (or Antisymmetric) Matrices . A square matrix is symmetric if it’s equal to its own transpose (meaning, if you swap its rows and columns, it stays the same). A skew-symmetric matrix , on the other hand, is equal to the negative of its transpose. These types of matrices have fascinating properties and are frequently encountered in physics and engineering. Familiarizing yourself with these distinct types of matrices will not only deepen your understanding but also make it easier to recognize their specific roles and apply the correct operations when solving problems. Each type offers unique insights and simplifies different aspects of mathematical modeling and computation, making your journey through linear algebra much smoother and more intuitive.

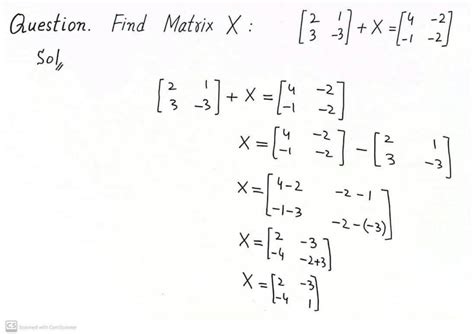
Fundamental Matrix Operations: Adding, Subtracting, and Scaling

Alright, guys, now that we’ve got a handle on what matrices are and the different types of matrices , let’s roll up our sleeves and talk about how we actually do stuff with them. Just like with numbers, we can perform basic arithmetic operations on matrices : we can add them, subtract them, and multiply them by a single number, which we call a scalar . These fundamental matrix operations are the building blocks for almost everything else you’ll do with matrices , so paying close attention here is super important. First up, Matrix Addition and Matrix Subtraction . The rules for these are delightfully straightforward, but there’s a crucial prerequisite: you can only add or subtract matrices if they have the exact same dimensions . That means if you have a 2x3 matrix , you can only add or subtract it with another 2x3 matrix . If their dimensions don’t match, the operation is simply undefined – you can’t do it! When you add two matrices , you simply add their corresponding elements. For example, to find the element in the first row, second column of the resulting matrix , you add the element from the first row, second column of the first matrix to the element from the first row, second column of the second matrix . It’s element-wise addition, plain and simple. Subtraction works the exact same way: you subtract corresponding elements. These operations are commutative (A + B = B + A) and associative ((A + B) + C = A + (B + C)), just like regular number addition, which is a nice consistency. These operations are incredibly useful when you need to combine or differentiate sets of structured data. For instance, if you have two matrices representing sales figures for different regions over the same period, you could add them to get total sales. Next, let’s talk about Scalar Multiplication . This is where we multiply a matrix by a single number (a scalar ). Unlike addition and subtraction, there are no dimension restrictions here; you can multiply any matrix by any scalar. The rule is fantastically simple: you multiply every single element in the matrix by that scalar. So, if you have a matrix A and a scalar k , kA means k multiplied by each element a_ij in A. This operation is super handy for scaling data. Imagine your sales matrix from before, and you want to convert all figures from USD to Euros by multiplying by an exchange rate. Scalar multiplication lets you do that in one go, scaling all your data uniformly. These fundamental matrix operations might seem basic, but they form the bedrock of more complex computations. They allow us to manipulate entire datasets and representations in a consistent and logical manner, which is why matrices are such powerful tools. Getting these down pat will make your journey into more advanced matrix concepts much smoother and more intuitive, so practice them well!

Mastering Matrix Multiplication: The Key to Advanced Math

Alright, guys, if there’s one operation in the world of matrices that truly unlocks its power and complexity, it’s matrix multiplication . While addition and scalar multiplication are fairly intuitive, matrix multiplication operates by a different, but equally logical, set of rules. This operation is the key to advanced math because it represents transformations, combinations of data, and the core of solving systems of linear equations, making it indispensable in fields like computer graphics, physics, and machine learning. First, let’s tackle the golden rule for matrix multiplication : the compatibility condition . You can only multiply two matrices , say A and B (to get A * B), if the number of columns in the first matrix (A) is equal to the number of rows in the second matrix (B). If A is an m x n matrix and B is an n x p matrix , then their product A * B will be an m x p matrix . If those inner dimensions ( n and n ) don’t match, you simply cannot multiply them – the operation is undefined. This condition isn’t arbitrary; it ensures that the dot products (which we’ll discuss in a moment) are always possible. Now, for the actual multiplication process: to find an element c_ij in the resulting product matrix C, you take the dot product of the i -th row of matrix A and the j -th column of matrix B. What’s a dot product? You multiply the first element of the row by the first element of the column, the second element of the row by the second element of the column, and so on, and then you add all those products together . This process is repeated for every element in the new product matrix . It might sound a bit intricate at first, but with a few examples, it clicks. Let’s say we want to find the element in the first row, first column of C. We take the first row of A, the first column of B, multiply their corresponding elements, and sum them up. This method allows matrices to perform complex operations like rotations, scaling, and translations in computer graphics, where a single matrix can represent a series of geometric transformations. A crucial property of matrix multiplication that differentiates it from scalar multiplication or number multiplication is that it is not commutative . That means, in general, A * B is not equal to B * A. The order absolutely matters, and often, if A * B is defined, B * A might not even be! This non-commutativity is a significant conceptual hurdle for many, but it’s a fundamental aspect of how matrices represent transformations that happen in a specific sequence. For instance, rotating an object and then scaling it will generally yield a different result than scaling it first and then rotating it. Matrix multiplication is associative ( (A * B) * C = A * (B * C) ) and distributive ( A * (B + C) = A * B + A * C ), which are handy properties for algebraic manipulation. Mastering matrix multiplication is a cornerstone of linear algebra; it’s where the real power of matrices shines, allowing us to model complex systems and relationships that would be incredibly difficult to express otherwise. Practice is key here, so don’t shy away from working through multiple examples to really get the hang of it. Once you understand this operation, you’ll feel like you’ve unlocked a whole new level of mathematical capability.

Beyond the Basics: Determinants and Inverses Explained

Having covered the fundamental operations, it’s time to venture beyond the basics and explore two more incredibly important concepts in the world of matrices : the determinant and the matrix inverse . These two ideas are not just abstract mathematical constructs; they are vital tools that provide deep insights into the properties of a matrix and are essential for solving advanced problems, especially systems of linear equations. Let’s start with the Determinant . The determinant is a special scalar value that can be computed from the elements of a square matrix . And yes, this is a crucial point: determinants are only defined for square matrices ! While the calculation can get a bit involved for larger matrices , for a 2x2 matrix [[a, b], [c, d]] , the determinant is simply ad - bc . For a 3x3 matrix , the calculation involves a sum of products of elements along diagonals, often remembered using Sarrus’s rule or cofactor expansion, which extends to even larger matrices . But why do we care about this single number? Well, the determinant tells us a lot. Geometrically, for a 2x2 matrix , the absolute value of its determinant represents the area of the parallelogram formed by its column (or row) vectors. For a 3x3 matrix , it represents the volume of a parallelepiped. More importantly, the determinant is a litmus test for whether a matrix is invertible . If the determinant of a matrix is non-zero, then that matrix is invertible , meaning an inverse exists. If the determinant is zero, the matrix is singular, and it does not have an inverse . This property is incredibly significant because a zero determinant indicates that the transformation represented by the matrix collapses dimensions (e.g., squishes an area or volume to zero), and thus, it cannot be reversed. This leads us directly to the Matrix Inverse . Just like a regular number x has a multiplicative inverse 1/x (such that x * (1/x) = 1 ), a square matrix A (with a non-zero determinant ) can have an inverse matrix , denoted as A⁻¹. When you multiply a matrix by its inverse , you get the identity matrix (A * A⁻¹ = I). The matrix inverse is super powerful because it allows us to effectively